真空真的就是空无一物?讲真,你可能真的误解它了!
前几天,有人问我这么一个问题:“真空既然什么都没有,那应该是绝对零度吧?光照真空会不会产生高温?”
在回答这个问题之前,先得弄清楚什么是真空。

01
真空里面有魔鬼?
真空本来的含义是“没有物质的空间”。vacuum这个词来自拉丁语形容词vacuus,看起来也蛮形象:字母u像一个容器,接连两个u,强调空空如也。顺便说一句,英语中含接连两个u的单词屈指可数,足见其特别。
古希腊的亚里斯多德曾提出,真空不可能存在。中世纪时,人们曾提出一种思想实验:考虑了当两个平板迅速分离时,两个平板之间应该是真空——哪怕只是瞬间。14世纪时,让·布里丹证实,当风箱的另一头被彻底封死时,十匹马一起合力都无法拉动风箱杆。
有哲学家提出,大自然极度厌恶真空,所以不让真空出现,即使在瞬间产生,物质就会马上来填充这些空间,这种观点称之为“恐怖真空”。甚至有人提出,即使上帝愿意,他都无法创造真空。
一种类似的思想是,人们认为凡是空洞(void),必然导致上帝的对手——恶魔撒旦出现在里面,为了避免这种情况,全能的上帝会立刻将空洞填满。所以空洞即使出现,也无法存在。
这其实是一种世界性的共识:真空是恐怖的,所以应该尽量避免它,老天也在帮我们,所以真空一般是短命的。例如,世界上不管哪个民族的人,都惧怕空房子,因为房子长期没人住,鬼就会来安家,所以叫做鬼屋(Haunted house)。我们经常说“权力的真空”,就是指某个地方缺乏管理,是非常危险的。
顺便说一句,我信科学不怕鬼,所以有好的鬼屋,不要可以送我,像下面这样的我是绝对可以笑纳的。

实际上,这个说法还解释了另一个物理问题:为什么用吸管可以喝水?今天我们都知道,这是因为大气压将水压到我们嘴里了的缘故(可别告诉我你有吸力哦!)。但那时候,人们并不知道大气压,认为是上帝厌恶真空,所以他立刻派水来淹没被吸走空气的管子,因此就把水顺便送到我们嘴里来了。
虽然上面这个想法看起来很荒谬,但在相当长的时间内,它的确比较好的解释了与抽水相关的很多问题。所以,我们应以历史的眼光来看待那些已经过时的理论。
其实物理学中的那些假设也都是如此,你根本不知道它们为什么成立,但只要你先接受它们,你就具有了描述和预测物理现象的理论,否则你将寸步难行,除非你有能力发明另一套新的理论。即使将来某个假设真被推翻了,那也是很正常的事,因为物理只服从于实验。
02
真空的研究和利用
1654年,德国马德堡市的市长奥托·冯·盖里克发明了第一台真空泵,并进行了他著名的马格德堡半球实验。结果表明,由于半球外的大气压力,马队无法将两个部分排空空气的半球分开。

随后,Robert Boyle改进了盖里克的设计,并在胡克的帮助下进一步开发了真空泵技术。此后,对部分真空的研究一直持续到1850年,当时奥古斯特·托普勒发明了托普勒泵,1855年海因里希·盖斯勒发明了水银置换泵,实现了气压约为10Pa的真空。
正是在这种真空水平下,许多电学性质变得可以观察到,这重新引起了人们对进一步研究的兴趣,所以真空的研究对电磁学的发展起了很大的推动作用。随后,人们发现,各种研究和应用越来越离不开真空,真空研究越来越引起人们的兴趣。
真空首次广泛使用是在白炽灯泡中,以保护灯丝免受化学降解。真空产生的化学惰性也适用于电子束焊接、冷焊、真空包装和真空油炸。
现代超高真空技术广泛被用于原子级清洁基板的研究,因为只有非常好的真空才能将原子级清洁表面保持相当长的时间(大约几分钟到几天)。而超高真空能彻底消除空气障碍,允许粒子束沉积或移除材料而不受污染,这是化学气相沉积、物理气相沉积和干法蚀刻背后的原理,它们对半导体和光学涂层的制造以及表面科学至关重要。
由于真空中对流大幅降低,这为保温瓶提供了隔热效果。真空能有效降低液体的沸点,促进低温放气,用于冷冻干燥、粘合剂制备、蒸馏、冶金和工艺吹扫。
真空的电学特性使电子显微镜和真空管成为可能,包括阴极射线管。真空灭弧室常用于电气开关设备,而真空电弧工艺对于生产某些等级的钢或高纯度材料具有重要的工业意义。通过真空消除空气摩擦,有助于减少飞轮储能和超速离心机运行时的损耗。
03
部分真空与完美真空
现在,绝大多数情形下,我们说真空是指气压远远低于标准大气压的空间。言下之意,只要空间仅含有极为稀薄的气体,我们就可称之为真空。当然,如果你是一个非常严谨的人,你可以称之为“部分真空”。但恐怕别人觉得这是画蛇添足。
而你心目中的那种“彻底的空无一物”的真空被称作“完美真空(perfect vacuum)”或叫“自由空间(free space)”,它是指:
空间中不存在任何具有能量和动量的粒子,即排除掉任何物质粒子(例如原子、电子等)和场粒子(例如光子)的空间,并且,广义相对论下的爱因斯坦张量的所有分量都为零。
很显然,这种完全没有粒子的理想状态,不可能在实验室中实现,尽管在一个极小体积内,可能碰巧在某个很短的时间内没有物质粒子。即使你移除了所有的物质粒子,仍然会有无数个光子和中微子,以及暗能量、虚拟粒子和真空涨落等其他方面的影响。
所以你应该明白,为什么我们对真空的要求大大缩水了吧!
实践表明,真正空无一物的空间目前无法得到,实际中也不存在。但“真空”二字已经被广泛使用,如果真打假的话,牵涉面太广了。所以就这样一直用到现在。
换句话说,所谓“真空”,其实都是妥妥的假货!但人们仍旧故意把它说成“真空”,无关科学的严谨性,纯粹是因为历史原因,更不是“此地无银三百两”式的谎言。
现实中的真空,都或多或少的含有气体分子,只是相对大气来说,真空中单位体积内所包含的气体分子数要小很多很多,甚至完全可以被忽略。从这个意义上说,真空并不是一种确定的状态,而是指一种相对的含义。
04
真空主要靠抽
你可能不太理解,不就是把容器中的气体都去掉嘛,就这么难吗?
真的不是你想像的那么简单。你想想,有什么方法能有效的赶走那些空气分子呢?
千百年来,人们想过很多方法,例如,将一个密闭的空间拉大;再就是,让某种气体充满一个密闭空腔然后通过化学反应将其消耗变为固体等。
但真正行之有效的方法还是看起来更简单粗暴的抽气——当然是借助各种高精尖的真空泵的组合使用来实现。之所以说“看起来更简单”,是因为这种方法虽然最容易想到,貌似简单,其实一点也不简单。
为了获得超高真空,除了所采用的真空泵的技术指标外,对于密封件的选择、腔室几何形状、材料和真空泵的组合和工作的程序等都有严格的要求,相关的技术统称为真空技术。
实践表明,无论你采用的真空技术多么高明,总有一些微量的气体或其他物质分子还残留在容器中。这当然有各种原因,除了漏气之外,例如还有因为容器内壁的放气(Outgassing)的问题,因为任何物质(甚至金属也好)在它所处的空间的气压低到一定程度时,都会放出气体,一般就是该物质的分子。
这一点,古希腊的哲学家亚里斯多德有先见之明。他曾说,空间中不会出现空洞,因为即使出现,也必然会被周围密度更大的物质自动填补。其实,这就是物理中的“扩散”现象——只要空间中的粒子密度不均匀,热运动就会导致物质从密度高的地方转移到密度低的地方。
你想啊,用来装真空的容器本身也是由微粒构成,那这些微粒自然无法避免扩散的问题吧。所以,即使空间中真的出现一个没有物质的区域,那包围它的那些物质时刻都在微弱的放气——扩散物质到这空间中来,所以真空的保存同样是很困难的。
所以,无论你费多大力气把一个密闭空间抽成真空,它的内部都不可避免的会慢慢出现越来越多的物质粒子,因为它本身就被物质包裹着。
05
真空度与真空级别
真空的程度,叫做
中真空 ,压强在100到0.1Pa之间,一般借助不锈钢和真空泵获得;
高真空 ,压强在0.1到 Pa之间,可通过不锈钢、弹性体密封件和高真空泵实现;
超高真空 ,压强在 到 Pa之间,可通过低碳不锈钢、金属密封件、特殊表面处理和清洁、烘烤和高真空泵实现;
极高真空 ,压强低于 Pa,可通过真空烧结低碳不锈钢、金属密封件、特殊表面处理和清洁、烘烤和额外的吸气剂泵来实现。
完整的真空表征,需要更多的参数,如温度和化学成分等。其中一个最重要的参数是残余气体的平均自由程(MFP),它指示了分子在连续两次碰撞之间移动的平均距离。空气在大气压下的MFP很短,为70nm。随着气体密度降低,MFP增加,在100mPa室温空气的MFP约为100毫米。

当MFP的值比腔室、泵、航天器或其他容器的尺寸更大时,意味着气体分子在容器中运动时,几乎只与容器壁碰撞,分子彼此之间的作用完全可以忽略,流体力学的连续性假设不适用。这种真空状态就是高真空,研究这种状态下的流体流动被称为粒子气体动力学。
自然界中真空度最高的真空并不是从实验室中获得的,而是来自广袤的太空中。例如月球表面的大气压约为 Pa,所以月球上面就是极高真空。但即使真空度如此高,每立方厘米的空间中却依然含有高达几十万个气体分子,不过其MFP高达上万公里!
而对于那种远离各种天体的星际空间,平均每立方厘米只拥有十多个甚至更少的分子,根本无法产生压强,常规的真空度已经失效了。就目前所知,远离任何星系的空间中,每立方厘米含有的分子平均只有 个,那里的光子的平均自由程更是高达100亿光年!太不可想象了!这大概是目前自然界中最接近完美真空的真空。
在星际空间中,由于远离一切物质(不考虑中微子、光子和暗物质),几乎没有任何力的作用,因此任何处在这里的物体(如果有的话)几乎是绝对自由的,所以叫“自由空间”也是很合适的,基于这种空间中运动的物体所建立的参考系可以被看作是理想的惯性系。
06
高真空应用的一个例子
常用来测量电磁辐射通量的克鲁克斯辐射计 就是工作在高真空区域的,它的主体是一个被抽成高真空的玻璃泡,内有一组可旋转的叶片。叶片暴露在光线下时,叶片附近的气体分子吸收光后碰撞叶片产生压力,由于叶片两侧对光吸收率不同,所导致的压力差使叶片发生旋转,旋转速度越快,光线就越强,从而提供了电磁辐射强度的定量测量。

这里的一个问题是,为什么辐射计内部要抽成高真空?因为较高的气压会导致较大的空气阻力,只有当空气极其稀薄时,叶片两侧温差所产生的压力差才能超过空气阻力而使叶片转动起来。
另一个问题是,是不是玻璃泡的真空度越高越好?非也!如果玻璃泡中的空气过于稀薄,分子碰撞叶片产生的压强太小,叶片也无法转动,因此空气的密度必须处在一个比较合适的范围,也就是高真空这个区域。
07
完美真空的本质
以上就是传统真空的那些事。但真空的内涵远不止这些。
下面这部分讲的可能你不太懂,没关系,不懂才是正常的。
从上世纪30年代以来,随着量子理论的发展,人们认识到即使是完美真空,实际上也不是一直都是空的。
这其中最重要的理论是1930年狄拉克提出的“狄拉克海”的真空模型。他认为完美真空实际上是由无限多个具有负能的电子填充而成的。如果让高能伽马射线射入真空中,有可能从中打出一个电子来,而在真空中留下一个空穴,这个空穴就是正电子,果然,两年后安德森就发现了正电子。

第二个是所谓真空涨落理论,它是随着兰姆位移和反常磁矩的发现而被确认的。根据量子电动力学,电子之间的碰撞,可用交换虚光子来实现,而虚光子可以产生正负电子对。因此真空可以看作是充满虚光子和电子对的海洋。根据海森堡的不确定原理,真空内部并不平静,而是在短时间内可涌现巨大的能量。因此,真空可以在极短的时间内衍生出大量的粒子,然后瞬间消失。

另外,规范场理论下的真空的对称性自发破缺,赋予希格斯粒子质量,为质量的起源这个物理学的根本问题提供了一种解决方案。而量子色动力学中的夸克禁闭理论指出,真空是夸克物质的凝聚相。
再后来,人们还从量子信息视角发现了真空更丰富的内涵,这涉及量子比特、量子纠缠等问题,这里就不再扯了吧。
所以,完美真空也并非空无一物。如果说空房子里没有鬼,那么真空中除了没有鬼,其他什么都有!
08
真空的温度是多少?
最后,来看本文开头给出的问题:
真空既然什么都没有,那应该是绝对零度吧?光照真空会不会产生高温?
要回答这个问题,得首先搞清楚,这里的“真空”是指什么?是完美真空?还是宇宙中的星际空间?还是实验室中制造出的各种不同真空度的真空?
如果是完美真空 ,那什么都没有,那何来做无规则热运动的粒子?那自然也就无法定义温度了,因此不是说它的温度是绝对零度,而是温度根本不存在!
如果是指星际空间 ,每立方厘米只有那么寥寥无几的粒子,那也无法达到热力学的要求——大量做无规则热运动的粒子构成的系统,因此依然无法定义温度?
且慢!那宇宙的背景温度为2.725K,这又是怎么回事呢?
呃,差点忘了,宇宙星际空间中有光子,还有中微子。他们都会产生背景辐射,这都会导致温度的!
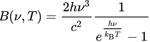
对于光子的部分,得从普朗克的黑体辐射公式说起。

任何具有温度的物体都会以电磁波的形式向外辐射电磁波,这就是热辐射。辐射强度与波长(或频率)之间的关系曲线,随温度不同而不同,温度越高,其峰值波长越短,如下图所示,这就是普朗克公式的结果。

现代宇宙学的研究表明,宇宙中存在一种各向同性的辐射,称之为宇宙微波背景(CMB)辐射,是宇宙大爆炸理论最有力的证据之一。以前的老式电视机在没有信号时,显示像下面这个样子,这就是CMB的模样。

宇宙微波背景辐射的强度与波长的曲线如下图所示,正好相当于2.725K的黑体辐射曲线,所以宇宙背景辐射对应的温度就是2.725K。

换一个角度,只要将光子能量与温度关联起来,我们也可以得到这个温度值。根据普朗克公式,温度与曲线峰值处波长成反比,这也被称为维恩位移定律,即:
其中 2.821439, 为玻尔兹曼常数, 为普朗克常数,据此,我们总可以将辐射中峰值处对应光子的频率与温度对应起来,代入上图中的数据——峰值频率为160.23GHz,得到的值差不多就是2.725K——我手算过哦,你也试试?
下图是NASA的一台叫WMAP的探测器历时9年绘制的宇宙微波背景辐射全天图,显示宇宙的平均温度非常均匀,只有局部出现轻微的温度涨落,因此可以认为宇宙的平均温度差不多也是2.725K。

对于中微子,它也会导致一种辐射,叫宇宙中微子背景(CNB)辐射,不过那个辐射对应的温度的来由与光子的不同,它的平均值是1.95K。由于中微子根本不与光子作用,所以这两个温度之间无法达到平衡。
所以,星际空间中存在两个独立的温度。
如果是一般的实验室中的真空 ,那么这真空内外还有很多物质,真空只是被物质包围的空腔,这些物质当然可以发出热辐射,也就是光子,按照黑体辐射的规律,这些光子充满的空间肯定也是有温度的,具体温度的高低由真空容器的温度决定。如果你再将光射向这个空间,当然就会导致其温度升高了。
这样看起来,只要是人工制造的真空,由于离不开容器,那也就无法离开热辐射了?基本上是这样!所以,容器中真空,不论它的真空度多高,哪怕物质粒子达到星际空间的水平(这是不可能的),由于容器壁会发出光子,所以一定是有温度的。
不过,如果通过低温技术,将真空的容器冷却到绝对零度附近——比宇宙微波背景辐射的温度还低,那么空腔中的光子全部都被容器壁吸收了。空腔内部没有光子了,此时空腔内可看作是一个没有热辐射的空间。

END

转载内容仅代表作者观点
不代表中科院物理所立场
如需转载请联系原公众号
来源:大学物理学
编辑:藏痴
单词联想vacate vacant vacuum
vacation
英/veɪˈkeɪʃ(ə)n/美/veɪˈkeɪʃ(ə)n/
n. (学校的)假期,(**的)休庭期;<美>休假,假期;腾出,辞去
v. <美>度假
网络休假 /度假 /圣诞假期
vacation假期,休假
词根词缀: -vac-空 + -ation名词词尾
vacate
英/vəˈkeɪt/美/ˈveɪkeɪt/
vi. 空出,腾出;辞职;休假
vt. 空出,搬出;取消;使撤退
网络让给 /空出 /使房屋空出 /腾出
同近义词同根词词源
vi.
空出,腾出;辞职;休假
quitresign from
vt.
空出,搬出;取消;使撤退
recall move out of
vacate空出;退出;腾出;撤离;取消
词根词缀: -vac-空 + -ate动词词尾
vacant
英/ˈveɪkənt/美/ˈveɪkənt/
adj. (地方)空着的,无人用的;(职位,工作)空缺的;茫然的,失神的
【名】 (Vacant)(法)瓦康(人名)
网络空的 /空缺的 /腾空
vacant space空舱位;未用空间
vacant room空房
vacant position职位空缺;空座
The seat next to him was vacant.
他旁边的座位空着。
She had a kind of vacant look on her face.
在她脸上有一种茫然的表情。
The position of chairman has been vacant for some time.
主席的职位已经空缺一段时间了。
vacuum
英/ˈvækjuːm/美/ˈvækjuːm/
n. 真空,真空容器;真空吸尘器;空白,空虚;(用真空吸尘器所做的)清洁,清扫
v. 用真空吸尘器打扫
adj. 利用真空的;真空的;产生真空的
网络真空 /真空吸尘器 /真空度
Vacuum cleaners work by suction.
真空吸尘器靠抽吸除尘。
The vacuum has an unpleasant **ell.
这个真空吸尘器有股难闻的气味。
Exclusion of air creates a vacuum in the bottle.
瓶子里的空气排除后就产生真空。
exclusion
英/ɪkˈskluːʒ(ə)n/美/ɪkˈskluːʒn/
n. 排斥,排除在外;被排除在外的人(或事物);认为不可能;(合约中的)除外事项;<英>开除学籍
vain
英/veɪn/美/veɪn/
adj. 虚荣的,自负的;徒劳的
网络徒劳 /自负的 /白费 /无用的
He was vain and bombastic.
他既虚荣又浮夸。
bombastic
英/bɒmˈbæstɪk/美/bɑːmˈbæstɪk/
adj. 辞藻华丽空洞的,浮夸的
网络夸大的 /唱高调的 /言过其实的 /夸夸其谈的
He was self-important, vain and ignorant.
他自大、虚荣、而且无知。
I think he is shallow, vain and untrustworthy.
我认为他浅薄、虚荣、不可信。
vein
英/veɪn/美/veɪn/
n. 静脉;(植物的)叶脉,(昆虫的)翅脉;(干酪、石头等的)纹理,纹路;矿脉,矿层,岩脉;(某种特定的)情绪,风格,主题;几分;(普通用语或比喻用法)血管
v. 使成脉络;像脉络般分布于
【名】 (Vein)(英)维因,(塞)魏因(人名)
网络静脉 /
rein
英/reɪn/美/reɪn/
n. 缰绳;(成人牵引幼儿用的)安全绳套;控制,主宰
v. 用缰绳勒(马)使停步或放慢步子,勒(马);控制住,约束
【名】 (Rein)(西、***)雷因,(法)兰,(英、荷、捷、德、芬、瑞典)赖因,(爱沙)雷恩(人名)
网络缰绳 /
相关问答
vacuum怎么读_作业帮
vacuum怎么读答案解析解答一vacuum[英]['vækjʊəm][美][ˈvækjuəm,-jum,-jəm]生词本简明释义n.真空,空白;真空吸尘器;空间;空虚vt.用...
vaccumvacuum哪个是真空的意思?那个正宗?
两者都是真空的含义。第二个较正宗。其中:vacuum名词:真空,空间形容词:真空的及物动词:用真空吸尘器清洗两者都是真空的含义。第二个较正宗。其中:vacuum名词...
thermos和vacuumflask的区别?
Thermos又称为Thermosflask或者Thermo**ottle,指我们生活中日常储存开水用的保温瓶、热水瓶。Thermos起初是保温瓶制造商的商标,后来由于保温瓶的流行而...
汽车真空度一般多少?
汽车真空度的正常值为101.5kPa。一、发动机密封性能在正常状态时1、发动机怠速运转时,真空表表针应稳定在64-71kPa之间(其摆幅的大小、摆速的快慢与发动机...
vacuumsealer不能抽真空怎么办?
如果你的vacuumsealer不能抽出真空,有几个可能的原因:1.真空袋没有正确放置:请确保真空袋正确地插入到机器中,并确保密封处已经完全关闭。2.真空袋有孔...
highvacuumgrease是玻璃胶吗?
道康宁HighVacuumGrease高真空润滑脂应用范围:用于真空及压力系统的密封润滑剂,润滑和密封,如化工设备、活塞阀、控制阀、流量计轴承、陶瓷活塞阀、灭火器...
vacuumsystem是什么意思?
vacuumsystem[英][ˈvækjuəmˈsistəm][美][ˈvækjuəmˈsɪstəm]真空系统;例句:1.Beabletounderstandprincipleofvacuumsy...
vacuumsealer真空机使用方法?
接通电源将需要抽真空的食物装进袋子,将袋口放入真空腔食物不要超过袋子的四分之三,抚平袋口4.合上盖子5.锁上锁扣6.选择"干物“7.点击“...
vacuumpump是什么泵?
vacuumpump是真空泵真空泵它可单独使用,也可用为增压泵、扩散泵、分子泵的前级泵、维持泵、钛泵的预抽泵用。可用于电真空容器制造、真空焊接、印刷、吸塑、...


微信扫一扫打赏
支付宝扫一扫打赏
